体育博彩网站
体育博彩网站主站
体育博彩网站
体育博彩网站概况
体育博彩网站简介
现任领导
管理架构
系室简介
联系我们
师资队伍
名师风采
研究生导师
管理办公室
解剖学系
病理学系
生理学与病理生理学系
病原生物学与免疫学系
基础医学系
基础医学研究所
广州霍夫曼免疫研究所
科学研究
科研动态
科研通知
重点学科
科研平台
科研成果
科普专栏
本科生教育
本科生动态
教育通知
基础医学专业简介
实践教学
教学能力提升
质量工程
教学成果
招生工作
本科生导师
研究生教育
研究生导师
研究生动态
教育通知
学位授权点
招生工作
党团工会
党建
工会
团委
人才招聘
公开招聘
高层次人才
博士后
专题网站
院长信箱
本科生教育
本科生动态
体育博彩网站
»
本科生教育
»
本科生动态
» 正文
本科生动态
教育通知
基础医学专业简介
实践教学
教学能力提升
质量工程
教学成果
招生工作
本科生导师
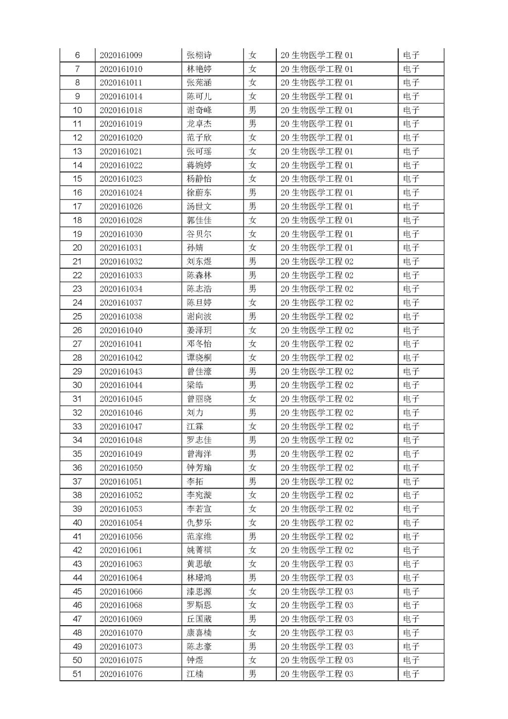
体育博彩网站 生物医学工程专业2020级培养方向分班公示
发布日期:2021-07-15 作者: 来源: 点击:
上一篇:
体育博彩网站 第二届“医学形态学实验教学标本切片大赛”
下一篇:
活动预告|体育博彩网站 人体标本馆科普基地第八期科普之旅——一呼一吸非小事,呼吸健康应重视